DOCUMENT: Crime

"Kinki Kelli" Headed To Jail For Pee Spree

OnlyFans model, 24, gets six months for vile antics

View Document

Pee Spree Plea

DECEMBER 1--The New Hampshire woman known as “Kinki Kelli” on OnlyFans will spend six months behind bars for a criminal mischief spree during which she filmed herself urinating on food at a supermarket and on an various items at a Marriott hotel.

Kelli Tedford, 24, today pleaded guilty to six Class A misdemeanors in connection with her vile antics earlier this year in Keene, a city in Cheshire County, court records show.

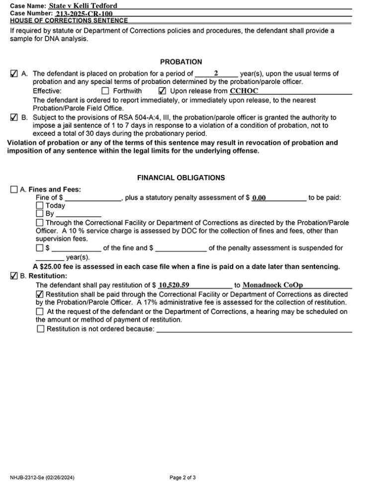
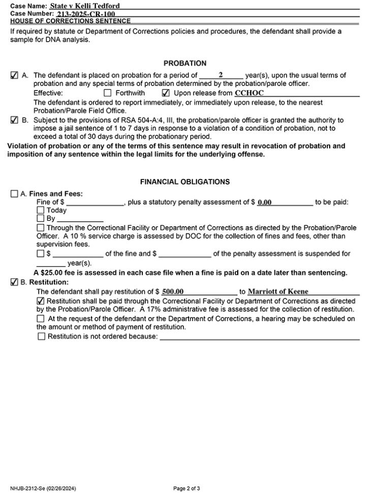
Tedford was sentenced to 360 days in jail, but a judge suspended half of that custodial term. She will be required to serve 180 days in the Cheshire County lockup, after which she will be placed on probation for two years.

Additionally, Tedford was ordered to pay $10,520.59 in restitution to the Monadnock Food Co-Op for contaminating grocery items (and forcing the business to discard inventory and sanitize its shelves).

Tedford will also have to pay $500 to the Marriott, where she relieved herself on a Bible, comforter blanket, curtains, and air conditioner unit. She also defecated on the floor and placed the waste into a toilet tank.

A judge has barred Tedford from returning to either business and has ordered her to “Continue with all mental health counseling.”

Detectives believed that Tedford’s pee spree was recorded for subscribers to her $15-a-month Only Fans page (which has since been deleted). Tedford’s “Kinki Kelli” page described her as a “submissive pixie, fetish/kink friendly (extremes too).” Her account also offered “custom content” and paid sexting sessions.

Tedford’s OnlyFans account noted that her prior page, Petite.Princess, “got banned.” Explicit videos of Tedford remain online, including one clip showing her urinating on new garments in a clothing store changing room. (5 pages)